Featured
R Calculate Area Under Curve
R Calculate Area Under Curve. X 1 and x 2 are the two limits, and then the formula for area between two curves is,. This website uses cookies to ensure you get the best experience.

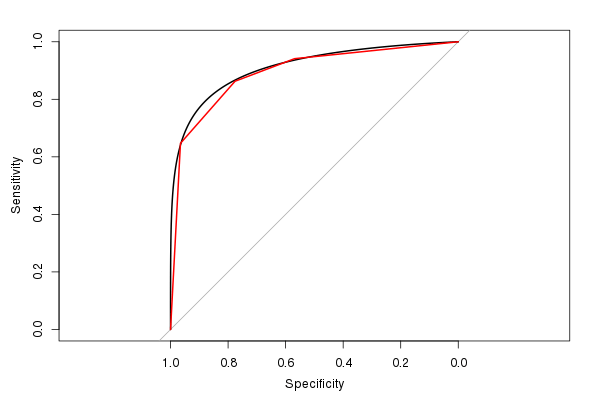
The area under the roc curve (auc) is an aggregated metric that evaluates how well a logistic regression model classifies positive and negative outcomes at all possible. Easier ways to calculate the auc (in r) but let’s make life easier for ourselves. If method is set to trapezoid then the curve is formed by connecting all points by a direct line (composite trapezoid rule).
I Am Trying To Create A Function Where A User Inputs Any Function, Ie X^2, Sin (X) Ect,.
The proc is an r language package to display and analyze roc curves. Here is how you could solve your problem. The area under the roc curve is called auc — area under curve.
The Variable Subj_B_Day1 Now Stores The Data Of Subject B On Day 1.
It can calculate the area under the curve with a naive algorithm or a. The basic formula used to calculate the area between two curves is as below: If method is set to trapezoid then the curve is formed by connecting all points by a direct line (composite trapezoid rule).
Enter The Function And Limits In The Respective Input Field.
Calculate area under the curve(auc) and the first. For calculating the area under the curve we divide the whole area in the form of few rectangular strips of height/length = f(x 0) and breadth = dx and the total area under the curve can be. To do so, we need to find.
Sm_Auc () Calculates The Auc Using.
It can calculate the area under the curve with a naive algorithm or a more elaborated spline approach. Computing the area under the curve is one way to summarize it in a single value; By using this website, you agree.
Area Under The Curve (Auc) Source:
In this case, we need to. This function calculates the area underneath a roc curve following the process outlined in mason and graham (2002). How to calculate auc (area under curve) in r.
Popular Posts
Genshin Impact Enhancement Progression Calculator
- Get link
- X
- Other Apps
How To Calculate Tfsa Contribution Room
- Get link
- X
- Other Apps
Comments
Post a Comment